首页  >  何谓面粗糙度  >  面粗糙度的参数

面粗糙度的参数


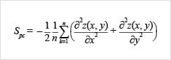
Spc(峰顶点的算术平均曲率)

表示表面峰顶点的主曲率平均数。
数值小表示与其他物体接触的点较圆润。
数值大表示与其他物体接触的点较尖锐。

Spc(峰顶点的算术平均曲率)

Spc(峰顶点的算术平均曲率)


由参数一览搜索

高度参数 Sa(算术平均高度)
Sz(最大高度)
Sq(根均方高度)
Ssk(偏斜度(偏差程度))
Sku(峭度(尖度))
Sp(最大峰高)
Sv(最大谷深)
空间参数 Sal(最小自相关长度)
Str(表面性状的高宽比)
Std*(表面性状的方向)
复合参数 Sdq(均方根斜率)
Sdr(界面扩展面积比)
功能参数 Smr(c)(负载面积率)
Smc(mr)(反向负载面积率)
Sk(中心部的水平差)
Spk(突出峰部高度)
Svk (面的突出谷部深度)
Smr1(分离突出峰部与中心部的负载面积率)
Smr2(分离突出谷部与中心部的负载面积率)
Sxp(极点高度)
功能(体积)参数 Vvv(谷部的空隙容积)
Vvc(中心部的空隙容积)
Vmp(峰部的实体体积)
Vmc(中心部的实体体积)
形态参数 Spd(峰顶点密度)
Spc(峰顶点的算术平均曲率)
S10z(10 点区域高度)
S5p(5 点峰区域高度)
S5v(5 点谷区域深度)
Sda(c)(平均谷区域面积)
Sha(c)(平均峰区域面积)
Sdv(c)(平均谷区域容积)
Shv(c)(平均峰区域体积)



返回顶部

浏览其他页面