静电消除器的Q&A基础篇
我们为您汇总了静电相关的基础知识、静电问题的解决方案、如何选择合适静电消除器等等的资料。
-
静电对策的具体方法,取决于实施对策的对象是导体还是绝缘体。
对象为导体时接地,为绝缘体时则通常会采用导电化、湿度管理、静电消除器等对策。接地

导体具有导电的性质,只要进行接地,就能将产生的静电快速导向大地。
这种静电对策无需成本又很简单,但对于不导电的绝缘体则没有效果。导电化
对绝缘体赋予导电性的方法分为以下2种。
-
- 防带电喷雾(表面活性剂)
- 向绝缘体喷洒表面活性剂,用水膜覆盖表面的方法。
-
- 将导电性物质混入绝缘体
- 将石墨、金属粉混入绝缘体,降低绝缘体电阻值的方法。
湿度管理
这是一种管理空间湿度的方法。
通常认为,工作环境湿度高于65%时不易产生静电,只要将湿度控制在该值以上,就能避免静电的产生。
但这种方法要求的覆盖范围很广,存在成本偏高、管理困难的缺点。静电消除器
这是一种生成+、-离子,中和静电的设备。
能够实现非常高速且高精度的静电对策,是目前特别受欢迎的方法。 -
-
静电消除器能够将周围的空气分子半强制性地电离成正离子或负离子。
再用生成的空气离子撞击带电物,实现中和静电的效果。
- A:静电消除器
- B:供应-离子
- C:中和
- D:+极带电物
- E:带电“0”
-
根据空气分子的电离方法,静电消除器的种类可分为“电晕放电方式”和“光照射方式”。
电晕放电方式是一种引发被称为电晕放电的放电现象,利用产生的放电能量,电离空气分子的方法。光照射方式则是照射紫外线、软X射线等光线,电离空气分子的方法。
-
如图所示,电晕放电式的静电消除器,是由电极针、高压电源部、接地这3部分构成,利用名为电晕放电的放电现象,生成离子的静电消除器。
电晕放电是对针状的尖锐物体外加高电压(通常为3 kV以上)时引发的现象,此时产生的放电能量,能够将周围的空气分子离子化。
- A:电极针
- B:高压电源
- C:接地
对电极针外加+极电压时,大气中的水分子会被电离,+离子化;外加-极电压时,大气中的二氧化碳及氧则会被-离子化。
由于产生的离子与外加到电极针上的电压具有相同的极性,离子在生成的同时就会受到斥力(库仑力)的作用,被向前方喷出。+离子生成示意图

如图所示,对电极针外加+极高电压时,电极针附近的空气分子中的电子会被夺走。这样一来,失去电子的分子将带上+电,形成+离子。又由于电极针上外加了+极电压,+离子会与电极针相斥,向对象物移动。
-离子生成示意图

如图所示,对电极针外加-极高电压时,电极针会释放电子。此时,飞散的电子会与电极针附近的空气分子接触,使分子带上-电,形成-离子。
又由于电极针上外加了-极电压,-离子会与电极针相斥,向对象物移动。
-
静电消除器应该具备的性能,包括“静电消除速度”和“离子平衡”。
静电消除速度快,离子平衡性能好的静电消除器,就是“优秀的静电消除器”。静电消除速度

“静电消除速度”是评价消除对象物所带静电快慢的指标,通常通过从原电压降至1/10所需的时间来评价。
当然,静电消除时间越短,越有资格被评价为“优秀的静电消除器”。
离子平衡

“离子平衡”则是评价经过静电消除后,对象物所带电压有多接近0 V,能够在0 V附近维持多久的指标,以±n V以内作为评价标准。
当然,越接近0 V,越有资格被评价为“优秀的静电消除器”。
-
静电消除器的性能,取决于对电极针外加电压的方法、电压外加方式。
电压外加方式分为DC、AC、脉冲DC、脉冲AC方式4种,静电消除能力各具特征。DC方式
对电极针持续外加+或-极直流电压的方式。如图所示,这种方式的离子产生区域较广,因此静电消除速度较快。但是由于产生离子的极性受到限制,因此离子平衡会变差。

AC方式
对电极针外加交流电压的方式。相较于DC方式,这种方式的+、-离子为交互式产生,具有离子平衡性能较好的特点。但是由于离子产生区域较窄,因此静电消除速度会变慢。

脉冲DC方式
从结构上来看,包括产生+离子的电极针与产生-离子的电极针,分别交互外加直流电压。虽然静电消除速度较DC方式略慢,但不同于AC方式,用矩形波来表示离子的产生区域,具有快速的特点。这种方式的+、-离子为交互式产生,因此离子平衡也较好。
虽然这是一种静电消除速度快、离子平衡性能好的方式,但有1点必须加以注意。
注意点:采用脉冲DC方式时,必须注意条型静电消除器的使用方法!

- A:长尺寸方向
如图所示,使用条型静电消除器时,从除电棒的长尺寸方向来看,存在仅产生+离子或-离子的区域,因此除电棒长尺寸方向的离子平衡较差。尤其是与静电消除对象物距离较近时,必须注意是否满足静电消除条件。
脉冲AC方式
电压的外加方法与脉冲DC方式相同,分为+极直流电源与-极直流电源,交互外加电压。因此,这是一种静电消除速度和离子平衡均很理想的方式。
其与脉冲DC方式的差异在于电极针。脉冲DC方式中,产生+、-离子的电极针是固定的,而在脉冲AC方式中,1根电极针能够产生+、-两种离子。
这一设计改善了长尺寸方向的离子平衡。
-
基恩士生产的各种型号的静电消除器,均配备了“I.C.C.控制”功能。
配备“I.C.C.控制”的优点包括以下3点。- 感知带电物的带电量,实现根据带电量产生离子的更高速静电消除
- 自动调节离子平衡,无需进行繁琐的初始调节
- 发生经时变化(电极针脏污等)也能维持离子平衡0 V
对于普通的静电消除器而言,随着使用时间的延长,会因电极针脏污,导致静电消除能力越来越弱(静电消除速度变慢、离子平衡变差等静电消除器性能劣化)。
SJ-E系列则不同,配备“I.C.C.控制”后,能够对对象物进行离子状况的实时感应,反馈控制离子的释放量,有效缓解经时性能劣化,尤其是离子平衡的恶化。通过“I.C.C.控制”进行离子平衡控制

- 测量条件
-
测量仪 静电消除监控功能(150 mm/20 pF) 环境温度 恒定为25℃ 环境湿度 35至45%Rh 安装距离 100 mm 运行时间 24小时不间断运行
-
根据静电消除器的离子产生方法(静电消除器的电压外加方式),能够使用的距离以及不能使用的距离都是对应固定的。
如果在使用静电消除器之前不考虑安装距离,不仅无法充分发挥静电消除效果,严重时反而可能使对象物带电。因此,在选择静电消除器时,一定要根据安装距离,选择最合适的静电消除器(电压外加方式)。
-
将静电消除器安装在静电消除对象物附近时,请注意静电消除器的离子平衡。
从离子平衡的观点来看,安装距离靠近静电消除对象物(300 mm以内)时,不宜采用电压外加方式为DC或脉冲DC方式的静电消除器。
如图所示,采用DC或脉冲DC方式时,产生+、-离子的电极针是固定的。
+极电极针下只产生+离子、-极电极针下只产生-离子,若与对象物距离较近,静电消除器电极针位置附近的离子平衡可能会恶化,造成静电消除对象物的静电消除不均。将静电消除器安装在静电消除对象物附近时,请务必使用能够从1根电极针上同时产生+离子、-离子的AC或脉冲AC方式的静电消除器。
■长尺寸方向的离子平衡数据(安装距离50 mm 典型例) 
图为近距离安装时,长尺寸方向的离子平衡数据。如图所示,脉冲DC方式静电消除器的离子平衡,呈±400 V左右的分段上下分布。
-
在远离静电消除对象物的位置安装时,最关键的问题是静电消除器产生的离子能否传导到静电消除对象物处。从离子移动距离的观点来看,安装距离远离静电消除对象物(300 mm)时,电压外加方式为AC方式的静电消除器是不适用的。
高频率
+离子与-离子会相互抵消,无法到达远处。 如图所示,采用AC方式时,由于+离子与-离子的产生周期较短,已生成的+、-离子会发生再结合并消失。因此,离子无法到达远处。
低频率
+离子与-离子的单次产生量较多,可以到达远处。 因此,在远离静电消除对象物的位置安装静电消除器时,所选类型能否设定较长的离子产生周期是非常关键的。
脉冲DC和脉冲AC方式的机型满足这一条件。
-
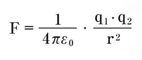
造成离子再结合现象的原因,是库仑力。库仑力是带电荷物体之间的作用力,计算公式如下所示。
q1・q2:电荷量
r2:距离具有与两个物体的电荷量之积成正比,与距离的平方成反比的性质。
最终计算出的库仑力F符号为+时代表斥力、为-时代表引力。+离子、-离子分别指的是释放或接受电子,带有正负电荷的空气分子。两者接近时,库仑力(引力)自然会作用其中,发生结合。结合后,电子过多状态的-离子会将电子归还给电子不足状态的+离子,双双恢复成空气分子。这就是离子的再结合现象。
- A:-离子
- B:+离子
- C:空气分子
-
近距离使用时,从静电消除速度与离子平衡的观点来看,不宜采用DC方式与脉冲DC方式,AC方式或脉冲AC方式较为合适。
由于AC方式产生的离子量较少,在静电消除速度上有所不足。
而远距离使用时,以同样的观点来看,AC方式是最不合适的,DC方式、脉冲DC方式次之,兼顾静电消除速度及离子平衡的则是脉冲AC方式。基恩士从安装距离与静电消除器的电压外加方式适用性的角度出发,总结了上表中的内容。供您在选择静电消除器时参考。
方式 近距离 远距离 速度 平衡 速度 平衡 DC × × ○ ○ AC × ○ × × 脉冲DC × × ○ ○ 脉冲AC ○ ○ ○ ○
-
静电消除器的频率就是离子的产生周期。
因此,只有脉冲DC方式和脉冲AC方式这种可以改变+离子、-离子产生周期的方式才会涉及频率的概念。
正如在Q11中介绍的一样,离子能够到达的距离,取决于离子的产生周期,必须根据安装距离,设定最合适的频率。近距离安装时
- A:离子产生周期短时,能够均匀供应两种离子。
- B:离子产生周期长时,+离子、-离子会集中在一起。
近距离安装时,通常会设定较快的频率(离子的产生周期)。
如上图所示,设定较慢的频率时,+离子与-离子集中,离子平衡恶化。远距离安装时
远距离安装时,如Q11所说,通常会设定较慢的频率(离子的产生周期)。设定的频率过快时,+离子与-离子会发生再结合并消失,导致离子无法到达静电消除对象物。
-
除了设定频率之外,还可以选择采用对静电消除器供应压缩空气的方法。
这样一来,可以利用压缩空气的物理力量,将离子喷向远处,加快静电消除速度。还能设定更快的频率,优化离子平衡。在利用压缩空气的静电消除器当中,不仅有提高静电消除速度的类型,还有将压缩空气用于电极针保护的类型。
- A:离子加速用
- B:电极针保护用
-
请使用CDA(洁净干燥的空气:含尘颗粒小于0.01 μm、露点-25℃以下左右),作为供应给静电消除器的空气。
如果供应的空气中含有水分或油分,会造成针尖凝结、漏气,引发事故及故障。







